ERP系統 & MES 生產管理系統
10萬用戶實施案例,ERP 系統實現微信、銷售、庫存、生產、財務、人資、辦公等一體化管理
BOM是制造业,特别是设备制造业最常用的ERP或MES概念。通商软件在实践过程中,发现虽然大家同叫BOM,理解五花八门。如果您想了解比较专业的BOM解释的话,链接这里。
不过,本着让中小企业短平快的理解和统一BOM概念,通商软件介绍一下大白话版本的BOM解释。
生产BOM

一般,我们可以把BOM分两类:
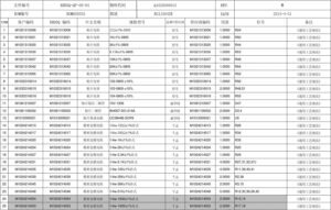
- 生产BOM。我们常说的配件表,包括非标和标准件。就是一台机器设备需要由多少东西组成。这个“东西”的清单就是生产BOM,也就是说,“东西”是组成产品的一部分。举例来说,螺丝肯定是的,电机、联轴器、齿轮、带轮、机械手、导轨等等标准件,机电类产品同样属于生产BOM。需要加工的非标件,比如板金外壳、木工、机械零部件,也属于生产BOM。
- 物料BOM。组成上述部件需要的物料,特别是非标加工的部件,需要很多的物料才能完成。比如轴,需要棒料、刀具,甚至需要焊接的销钉等等,都属于该部件的物料BOM。总之,物料BOM是作用在部件之上的不可分割的东西,或者用于加工部件的工具。
生产管理ERP最常见的就是上述两类BOM。
实际过程中,还有一些模棱两可的东西,属于哪个BOM。通商软件举个例子。
焊接生成的机架子,其板材部件属于哪个?
以速易天工ERP为例。速易天工ERP的最小生产单位是图纸,如果整个机架子画成一个图纸。那么板材部件时物料BOM。如果把机架子拆开多个图纸加工,那么板材部件就是生产BOM。


咨詢顧問